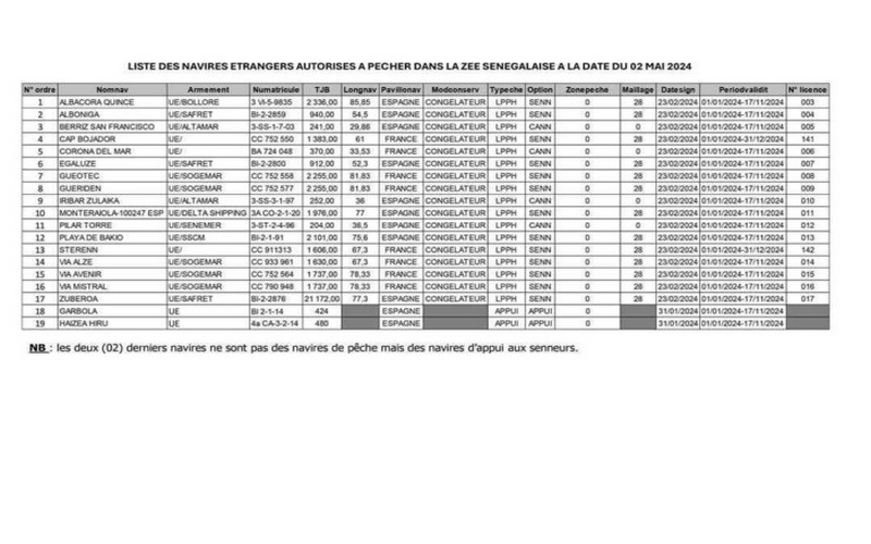
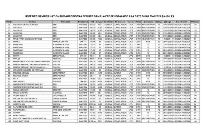
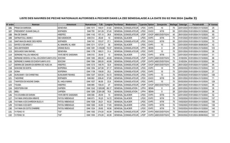
Les nouvelles autorités du Sénégal ont publié, au total, 151 navires autorisés à pêcher dans les eaux sénégalaises à la date du 6 mai 2024, informe la ministre des Pêches, des Infrastructures maritimes et portuaires, Dr. Fatou Diouf. Il s’agit de 132 navires nationaux et 19 navires étrangers.
Cette mesure qui répond au principe de transparence dans la gestion des ressources naturelles qui constituent un patrimoine national, prend effet à cette date du 06 mai 2024. Le ministère précise cependant, que cette liste ne tient pas compte des dossiers qui sont en cours de renouvellement.
Ci-après les documents rendus public par le ministère.








Laisser un commentaire